第8回JANT研究集会 2002.09.05 -- (1/16)
(page 1)
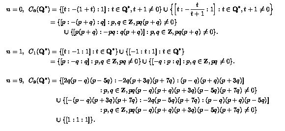
問題 -- (2/16)
- Melvyn J. Knight[4]
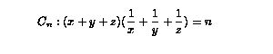
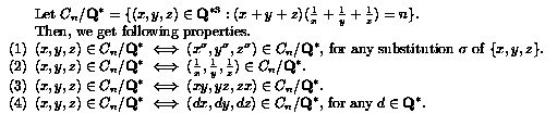
- nを与えたとき、以下の曲線 Cn は有理点を持つか?
- 1993 Andrew Bremner, Richard K. Guy, Richard J. Nowakowski[5][1]
- 楕円曲線 En が無限位数の有理点を持つかどうかに帰着できる。
- 2002/7 Nakao -- Allan J.MacLeod[1]を読んで、以下の問題を考えた。
- 曲線Cnから楕円曲線Enへの双有理変換と(|n|<=100のとき)Cnの有理点を具体的に求めよ。
(page 2)
結果1 -- (3/16)
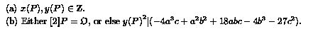
- n=87,-60,-73を除いて、Cnの有理点の有無を決定し、有理点を具体的に求めた。
- |n|<=100の範囲で、Cnが有理点を持つことが分かったnは、以下の93個。
(page 3)
結果2 -- (4/16)
(page 4)
結果3 -- (5/16)
En(Q)のねじれ点群を決定した。
E
n(
Q)の基底の高さが10以上となるnに対応するC
nの有理点(|n|<=100)
- n=48, [70633 : -3329130 : 6685382], ...
- n=93, [-106865 : 144690 : -37646466], ...
- n=-58, [111600756 : -198642325 : -14941163300], ...
- n=-61, [19535516 : -196404156 : -1171388655], ...
- n=-76, [-5053373 : 1136460 : -109032735]†, ...
- n=-78, [9762340 : -264208596 : -551048889], ...
- n=-86, [2214640 : 392828435 : -585149859], ...
- n=-92, [45830904 : 1457527240 : -5623815849], ...
- n=-96, [3003037440 : -5581682432 : -627978474123], ...
- n=-100, [4450012553 : 219887106322 : -663397965750], ...
(page 5)
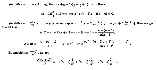
Cnを射影曲線と見る -- (6/16)
よって、Cnを複素射影平面P2C上の曲線と考えて、z=1なる有理点[x : y : 1]を求めれば、十分である。
(page 6)
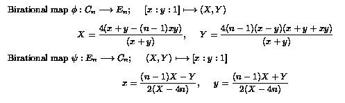
双有理変換の導出1 -- (7/16)
(page 7)
双有理変換の導出2 -- (8/16)
(page 8)
tors(En(Q))の決定 -- (9/16)
楕円曲線E
nが非特異(つまり、n!=0,1,9)とする。
(page 9)
曲線G100のグラフ -- (10/16)
(page 10)
楕円曲線E100のグラフ[全体] -- (11/16)
(page 11)
楕円曲線E100のグラフ[原点付近] -- (12/16)
(page 12)
楕円曲線EnのMordell-Weil群からCnの有理点を求める -- (13/16)
- ねじれ点群 tors(En(Q))の決定
- pari/gp-2.1.4のelltors()関数を使用。
- 正確に計算するには、elltors()関数でflag=1を指定する[Nagell-Lutzの定理を使用]。
- Z/6Z : 生成元 (4n,4n(n-1)) (n!=0,1,9,10のとき)
- Z/6Z×Z/2Z: 生成元 (-20,60),(0,0) (n=10のとき)
- Mordell-Weil群 En(Q)の決定
- Cremonaのmwrank 2.8を使って、rank(En(Q))とEn(Q)の基底を求める。
- 曲線Cnの有理点の決定
- En(Q)の元(特に、自由部分群の基底)を逆変換して、Cnの有理点を求める。
- pari/gpでプログラムを作成する。
(page 13)
Enが特異楕円曲線となるn=0,1,9の場合 -- (14/16)
(page 14)
今後の課題 -- (15/16)
- x,y,z>0なる有理点[x:y:z]を持つnの条件を調べる。[n>=9は必要条件]
(page 15)
参考文献 -- (16/16)
参考文献
- [1]Allan J. MacLeod, "A simple practical higher descent for large height rational points on certain elliptic curves", Dept. of Mathmatics and Statics Univercity of Paisley, June 15, 2002.
- [2]Joseph H. Silverman, John Tate(著), 足立 恒雄, 木田 雅成, 小松 啓一, 田谷 久雄(訳), "楕円曲線論入門", シュプリンガー・フェアラーク東京, 1995.
- [3]Joseph H. Silverman, "The Arithmetic of Elliptic Curves", GTM 106, Springer-Verlag New York Inc., 1986.
- [4]三島 久典, "数学者の密室 3章 n=(x+y+z)(1/x+1/y+1/z)", "http://www.asahi-net.or.jp/~KC2H-MSM/mathland/math03/index.htm".
- [5]A. Bremner, R.K.Guy, R.Nowakowski, "Which integers are representable as the product o the sum of three integers with the sum of their reciprocals", Math. Comp. 61(1993), 11-130. [未入手]
(page 16)
付録 -- (A1)
- Nagell-Lutzの定理
E/Qを以下のWeierstrass標準形を持つ楕円曲線とする。

P ∈ E(Q)をOでないねじれ点とすると、以下が成立する。

- Mazurの定理[1977]
楕円曲線E/Qのねじれ点群tors(E(Q))は、以下の15種類の群の中の1つである。

さらに、これらの群がtors(E(Q))と一致するような楕円曲線E/Qが存在する。
(page A1)