第11回JANT研究集会 2004.03.13 -- (1/16)
(page 1)
問題 -- (2/16)
- Fibonacci数列
- Diophantus方程式
- Cohn(1964),Wylie(1964): n=2の場合
- London & Finkelstein(1969): n=3の場合
- J. McLaughlin(2000)[1]: n=5,7,11,13,17の場合
- 問題: n=19,23の場合
(page 2)
概要 -- (3/16)
- J.McLaughlin[1]の方法の紹介
- 初等的考察で、あるn次Thue方程式の整数解を求める問題に帰着する。
- 解の上界を求め、LLL-algorithmにより上界を下げる。
- q≡1(mod n)なる素数qを複数選択して、qに対するn乗剰余を使ったふるいにかける。
- パソコン上での計算結果(n=19,23)
- 問題の答えは、YES。
- Fibonacci数列に現れる完全19乗数と完全23乗数は、自明なもの(0, 1)に限る。
- 計算には、pari/gp-2.1.5/2.2.7alpha, gp2c-0.0.2pl6を使用。
(page 3)
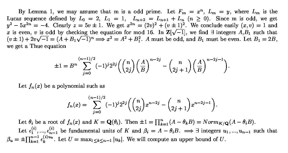
初等的考察 -- (4/16)
- n次Thue方程式に帰着する。
(page 4)
f19(x),Kの基本単数: n=19の場合 -- (5/16)
(page 5)
f23(x),Kの基本単数: n=23の場合 -- (6/16)
(page 6)
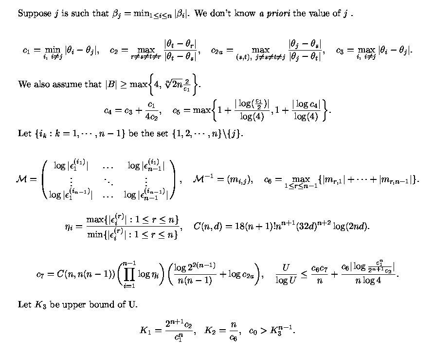
定数の定義 -- (7/16)
(page 7)
定数の計算結果: n=19の場合 -- (8/16)
(page 8)
定数の計算結果: n=23の場合 -- (8/16)
(page 9)
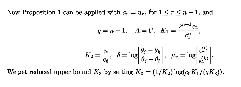
上界K3を下げる -- (9/16)
- LLL-algorithm
(page 10)
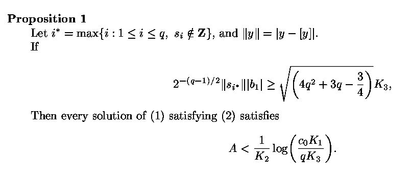
新しい上界 -- (10/16)
- Proposition 1を適用
(page 11)
K3の計算: n=19,23の場合 -- (12/16)
(page 12)
mの上界とn乗剰余によるふるい -- (13/16)
(page 13)
n=19,23の場合の結果 -- (14/16)
(page 14)
今後の課題 -- (15/16)
- 事実
- ただし、計算量が増えるので、パソコン上で実行できるかどうか不明。
- 予想(あまり根拠はない)
(page 15)
参考文献 -- (16/16)
- 参考文献
- [1]J. Mc Laughlin, "Small Prime Powers in the Fibonacci Sequence", Dec 13, 2000, p1-22.
- [2]Nigel P. Smart, "The Algorithmic Resolution of Diophantine Equations", LMSST 41, Cambridge University Press, 1998, ISBN0-521-64633-2.
(page 16)